
较真要点:
- 1现代病理学研究已证实β淀粉样蛋白(即Aβ)和tau蛋白的异常沉积,是经典的阿尔茨海默病病理表现,并且在患者出现临床症状之前就已经存在多年了。
- 2最新研究显示,抽血检查Aβ40、Aβ42和tau蛋白,能80%预测脑脊液异常,而脑脊液异常的患者是阿尔茨海默病的高危人群。所以,Aβ40、Aβ42和tau蛋白有作为阿尔茨海默病血液标志物的潜力。
- 3但能够预测脑脊液异常并不代表就可以早期诊断阿尔茨海默病,而且血液标志物检测也没有在现实临床中使用,依然还是处于人体临床试验的阶段,还有待于科学家们展开更多试验来进行验证以及复现。
- 4目前,临床确诊阿尔茨海默病依然是非常复杂的,需要经过多种检查手段综合评估判断。
查证者:董静 | 北京宣武医院神经内科住院医师,神经病学博士
近日有媒体报道,现在出现一种新技术,只要检测一种血液标志物,就可以检测阿尔茨海默病,甚至有媒体已经使用“一滴血检测阿尔茨海默病”这样的标题了。那么,这是一条值得“普大喜奔”的消息呢,还是“言过其实”了呢?
一、为在阿尔茨海默病临床症状出现之前进行确诊,开发血液标志物检查成为热门研究
阿尔茨海默病(Alzheimer’s disease,简称AD),是临床上最常见的痴呆原因。它的特点是早期即出现记忆力下降,新发生的事容易遗忘。随着病情的进展,患者会出现迷路、说话减少、找词困难等认知功能受损表现,以及脾气性格改变、幻觉妄想等精神行为异常。患者的工作和生活能力会逐渐变差,最终不能自理、长期卧床、不认识家人、大小便失禁,给患者和照料者带来沉重的经济和心理负担。
早在100多年前,德国的精神病学家Alois Alzheimer医生就对一位已逝的阿尔茨海默病患者进行了脑部尸检,得到了前所未有的发现:患者的神经细胞外有大量由β淀粉样蛋白(β-amyloid,简称Aβ)聚集形成的淀粉样斑块,神经细胞内则含有由结构异常的tau蛋白缠结在一起形成的神经原纤维缠结。


现代病理学研究已经有充分证据证实β淀粉样蛋白和tau蛋白的异常沉积是经典的阿尔茨海默病病理表现。更可怕的是,这些表现在患者出现临床症状之前,就已经存在多年了。
为了能够在患者临床症状出现之前就做出诊断,而不是患者死后才进行确诊,研究人员开发出了针对Aβ和tau蛋白的脑代谢显像技术PET。PET检查通过将放射性示踪剂选择性地结合到淀粉样斑块或者神经原纤维缠结上,能直观地显示病变区域。
然而PET检查设备高端、费用高,仅有少数专科机构能够开展。所以,在这种情况下,科学家们希望开发出一种成本更低、操作更简单、结果又可靠的检查。
于是,开发血液标志物Aβ和tau蛋白,就这样成为了该领域近年研究的热点。
二、最新研究结果显示,血液标志物检测可以预测阿尔茨海默病患者脑脊液异常
2019年6月24日,美国医学会《神经病学》杂志发表了一篇论文。研究称,瑞典隆德大学、哥森堡大学的研究人员和罗氏制药公司开发了一种新的血液标志物检测手段,能检测阿尔茨海默病患者血液中的β淀粉样蛋白(即Aβ)和tau蛋白。
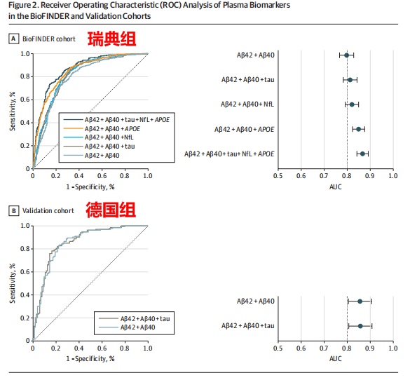
试验在2009年至2015年间进行,共历时7年。研究人员设计了2个组,以便在不同人群中进行验证;一组为瑞典组,共招募了842人,包括513位认知正常人、265位轻度认知受损的患者和64位阿尔茨海默病患者;一组为德国组,共招募237人,包括34位认知正常人、109位轻度认知受损患者和94位阿尔茨海默病患者。
所有受试者均被抽取了空腹血和脑脊液,研究团队评估了血液标本中的Aβ40、Aβ42(两种主要的Aβ成分)和tau蛋白含量,并把脑脊液中的Aβ42/Aβ40比值小于0.059和磷酸化tau/Aβ42比值大于0.022(磷酸化tau是tau蛋白的一种修饰形式)作为评价患者疾病状态的标准。
结果显示,有29%的认知正常人、60%的轻度认知受损患者及100%的阿尔茨海默病患者的脑脊液指标存在异常。也就是说,有部分认知正常人和轻度认知受损的患者未来可能发展成阿尔茨海默病。
那么血液检测能准确预测脑脊液的异常吗?这将是β淀粉样蛋白(即Aβ)和tau蛋白能否作为阿尔茨海默病血液标志物的核心问题。
研究人员采用了一种叫曲线下面积(AUC)的统计方法,来评价血液检测结果的预测能力。当AUC的值越接近1提示预测能力越好,1代表预测正确的概率为100%。这项研究结果提示,瑞典组受试者的血液Aβ40+Aβ42的AUC值是0.8, Aβ40+Aβ42+tau蛋白的AUC值是0.86;德国组受试者的Aβ40+Aβ42的AUC值是0.86,Aβ40+Aβ42+tau蛋白的AUC值是0.86。两个组的结果类似,预测准确率皆达到80%。

所以,Aβ40、Aβ42和tau蛋白有作为阿尔茨海默病血液标志物的潜力。也就是说,只要血液检查中这些指标存在异常,那么患者就可能属于阿尔茨海默病的高危人群,需要重点监控。
三、通过血液标志物来筛查阿尔茨海默病还为时尚早
但需要注意的是,能够预测脑脊液异常并不代表就可以早期诊断阿尔茨海默病。
实际上在试验中的那些脑脊液指标存在异常的患者,最终是否会发展成阿尔茨海默病患者目前还无法确定,研究也没有进行PET检查证实脑内存在阿尔茨海默病的病理病变。
而且血液检测Aβ和tau蛋白也并没有在现实临床中使用,依然还是处于人体临床试验的阶段,还有待于科学家们展开更多试验来进行验证以及复现。
如果写入指南就有可能用于临床初筛,但写入指南需要有高级别的临床试验证据,如果相关的随机对照试验和荟萃分析的结果得到了全世界行内专家的共识的话,那么这个检测方法才有可能被写入阿尔茨海默病的指南。只有进入指南,该方法才有可能进入全球各大医院进行临床初筛,并且还需要配备专门的血液检测设备和人员。
所以,目前说通过血液标志物来筛查阿尔茨海默病还为时尚早,但一旦实现的话,将有更多的患者更容易获得早期筛查阿尔茨海默病的机会。
目前国内外关于阿尔茨海默病血液检查的研究很多,但标志物基本围绕与Aβ和tau蛋白代谢相关的蛋白,有部分研究机构正在开发一些新的血液标志物,比如微小RNA、基因多态性检测等,但都处于科研阶段。

四、现阶段,确诊阿尔茨海默病还是要依靠很多检查与评估
现阶段临床上确认阿尔茨海默病还是一件非常复杂的事情,要依靠化验,比如脑脊液检查;影像学检查,比如脑结构MRI;核医学检查,比如脑代谢PET;临床表现,询问是否有记忆力衰退症状;神经心理测评,比如记忆力测评量表;基因检测,比如APOE基因筛查等等。需要综合评估这么多检查结果,才能确诊一个患者是否得了阿尔茨海默病。
总之,简单便捷的血液检查是诊断阿尔茨海默病的理想追求,但现阶段仍需慎重看待单纯通过抽血诊断阿尔茨海默病的言论。网络上经常有“一滴血检测癌症”,现在又来了个“一滴血检测阿尔茨海默病”,倒是常常能惊爆网友的眼球,但实际技术根本就没有成熟,也还未到临床使用阶段,大家要小心,别被人忽悠了。
本文编辑:zolazhang
想了解更多内容?微信搜索“较真辟谣神器”小程序,点击“问答”进行提问,较真妹等你哦~
版权声明:本文系腾讯较真独家稿件,未经授权,禁止媒体转载。欢迎个人转发至朋友圈。

共筑社会“安全感”|沃尔沃汽车鼎力支持上海市“医苑新星”结业仪式
重庆丰益中医肛肠医院看病贵不贵?收费透明,看病不贵
校园直击!紫竹蜂胶口腔膜治愈风潮燃动福州!
万众瞩目:络病大会召开 微血管病变防治开辟新局面
毓婷x学院奖云课堂完美收官|“毓”青春同行,创意步履不“婷”
发现就是中晚期的结直肠癌,其实有办法可以避免!
“毓”见别YOUNG青春——毓婷携手学院奖2022再启新程
成都中德肾病医院付冬梅--专业经验技术 让你放心无忧