
原标题:我国17%急性心梗患者仍使在用硫酸镁!China PEACE研讨最新剖析
1991年发布的ISIS-4大规模临床试验成果推翻既往认知,提出静脉镁剂不仅对下降急性心肌梗死无益,乃至有害。自2000年起,国内外攻略均不主张在急性心肌梗死患者中惯例运用静脉镁。
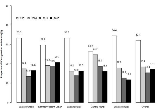
近期,阜外医院学者王现强、杜雪等在BMJ Open宣布的ChinaPEACE研讨最新剖析显现,尽管静脉硫酸镁的运用有所下降,但直到2015年,每6例急性心肌梗死患者中仍有1人承受这种医治。
研讨显现,15年来,我国急性心肌梗死患者中静脉硫酸镁的整体运用率已从2001年的32.1%降至
2015年的17.1%,并且这一改变首要发作在前5年间。
与中部区域(25.9%降至18.1%)比较,东部(33.3%降至16.5%)和西部(34.8%降至17.2%)区域的下降起伏更大,但城乡之间无显着差异。
值得重视的是,运用静脉硫酸镁的医院份额在既往15年却无显着改变(81.3%至77.9%)。
图1 2001年、2006年、2011年和2015年5个经济/地舆区域的静脉硫酸镁运用率的改变趋势
研讨还提示,静脉硫酸镁的运用与入院时心脏骤停,再灌注医治以及院内新发心力衰竭明显相关。
此外,承受静脉硫酸镁医治的患者呈现院内逝世及院内并发症的危险更高。
研讨者以为,从静脉硫酸镁运用来看,我国急性心肌梗死的治疗形式改进还存在较大距离,特别是近10年间,整体运用率仍在高位徜徉。
当时我国医疗质量操控作业的重视要点多为“该用的药是否运用”,但是关于“不应用药是否弃用”仍缺少继续的点评。
研讨者着重,鉴于此,除了加强针对医务人员的攻略训练和常识更新,还需要不断健全医疗质量点评系统,以推动继续改进患者预后并削减资源糟蹋。
这项ChinaPEACE研讨最新剖析,于分层随机抽样当选的162家医院中,经过回忆性注册挂号研讨对其急性心肌梗死的治疗形式进行了为期15年(2001~2015)的随访,共归入24418例扫除低镁血症或顶级改变室性心动过速等硫酸镁习惯证的急性心肌梗死患者。
来历
Wang X, Du X, Yang H, et al. Use of intravenous magnesium sulfate among patients with acute myocardial infarction in China from 2001 to 2015: China PEACE-Retrospective AMI Study. BMJ Open, 2020, 10(3): e033269.
责任编辑:

沃尔沃汽车“移动的体育博物馆”焕新发车 以车为展,助力体育运动全民
共筑社会“安全感”|沃尔沃汽车鼎力支持上海市“医苑新星”结业仪式
重庆丰益中医肛肠医院看病贵不贵?收费透明,看病不贵
校园直击!紫竹蜂胶口腔膜治愈风潮燃动福州!
万众瞩目:络病大会召开 微血管病变防治开辟新局面
毓婷x学院奖云课堂完美收官|“毓”青春同行,创意步履不“婷”
发现就是中晚期的结直肠癌,其实有办法可以避免!
“毓”见别YOUNG青春——毓婷携手学院奖2022再启新程